
赋分制是新高考中最难懂也是最重要的政策,关系到选科策略。了解透了可以扬长避短,更好发挥考生优势。
今天结合具体示例,给大家讲解新高考“3+1+2”模式中的赋分制,帮助高一学生及家长提前了解,为选科做准备!
“3”:语文、数学、外语3科满分均为150分,总分450分,各科均以原始成绩计入考生总成绩;
“1”:物理或历史必选一科,满分为100分,以原始成绩计入考生总成绩;
“2”:政治、地理、化学、生物任选2科,每科满分均为100分,以等级赋分成绩计入考生总成绩。
也就是说,涉及到“等级转换赋分”的科目,是政治、地理、化学、生物4门,这4门要以等级赋分后的成绩计入总成绩。
新高考下实行等级赋分,让选择同一科的同学进行对比,然后赋分,这样有利于解决因试题难度不同而导致的不公平。1.等级赋分制不是按照考生的卷面分数来计算成绩。遵循“原始分数——百分比例——等级——转化分数”的等级赋分路径。2.等级赋分由相关主管部门自动完成,大家在查询到自己的高考成绩时,看到的已经是赋分后的分数,不需要大家自行换算。以实际参加该科选考人数的成绩为基数,将各考生原始成绩从高到低划分为A、B、C、D、E共5个等级,各等级人数所占比例分别约为15%、35%、35%、13%和2%。以上的5个等级及各等级对应的比例及赋分区间是事先设定的固定规则,转换后赋分成绩满分为100分,赋分起点为30分。
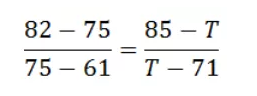
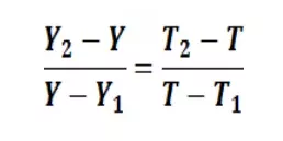
某学科原始分前15%的考生最高分为100分,最低分为95分,则该学科A等级的原始分区间为【100~95】。已知A等级赋分区间为【100~86】分(固定不变),也就是说,原始分【100~95】的考生为A等级,赋分后最终成绩为【100~86】分。某学科考试成绩最后2%的考生最高分为20分,最低分为5分,则该科目E等级的原始分区间为【20~5】。已知E等级赋分区间为【40~30】分(固定不变),也就是说,原始分【20~5】的考生为E等级,赋分后最终成绩为【40~30】分。极端地讲,假设这个区间某考生原始分为5分,赋分后也能拿到30分。考虑到高考分数都以整数呈现,故上述公式的计算结果需要进行“四舍五入”处理。解得,T≈80.33;四舍五入后小淘同学政治学科最终赋分成绩为80。等级赋分能够较好解决学科之间分数不等值、学生选考科目分数不能直接相加参加高校招生录取的问题。如果以原始分呈现考试成绩,会带来学科间不公平问题;等级呈现方式则使得不同学科考生因等级划分而保持了成绩相对均衡,学科间试题难易差异等不公平因素可以被较好消除,使得不同科目之间成绩可以相加。考虑赋分因素要重点注意以下几类情况︰学霸选考越集中,成为炮灰的可能性越大;试题难易程度:试题难度越简单,学霸区的炮灰就会越多。试题越难,学霸越容易和其他人拉开差距,考上名校。赋分模式下,选择人数越多,赋分结果就越趋于合理,选择人数越少,偶然性就会越大。总而言之,赋分制度下不仅要求考生考虑自身的成绩,还要考虑本省其他竞争者的成绩。
这一现象在首批试点的浙江省有出现,采取的措施为设置最低保障基数,当选考人数少于“基数”时,则按照基数人数进行赋分。新高考改革采取赋分制,最高100分,最低30分,如果考生交白卷,实际卷面成绩0分,选科目成绩被排到E等级。那么在等级赋分后,任选科目每科最少也有30分会被计入总成绩,两门任选科目即60分。新高考改革,选择纯文组合,除了专业选择受限,赋分会吃亏吗?
纯文组合的专业覆盖率偏低,但是赋分的高低主要跟排名有关系,考生如果文科排名很靠前,也有被赋予高分的可能。不一定,决定大学录取分数线的因素是考生的投档人数,招生计划等因素,新高考中虽然实行了赋分,但是是所有学生都参与赋分,形成的高考总成绩是不影响录取分数线的。新高考改革选择等级赋分制,赋分主要看排名,考生排名在前1%,基本上都可以被赋予满分。二是能够最大限度地保证考生的成绩具有良好的区分度,满足高校人才选拔的需求。不一定,具体的要看每个学校的专业实力,投档人数,招生计划等因素。
影响考生赋分成绩的因素包括学生排名、选考学生层次、学科及试卷的难易程度、选考人数等。以往文科因此题目较主观的原因,很难得高分或满分,但赋分之后,将成绩分布在各个区间,成绩整体比以前高。赋分的高低主要受考生排名的影响,选考人数越多,赋分结果就越趋于合理,选择人数越少,偶然性就会越大,冷门学科选考的人数可能较少,但是能不能被赋予高分还是看考生的实际排名,是否有优势无法准确衡量。
联系电话:0451-85131777
官方网站:www.wentaisx.com
学校地址:哈尔滨市道里区机场路838号